首页  科学研究  科研成果  成果展示 | 新闻详情

基于差分进化算法的太阳能光伏系统参数优化技术

来源:自动化科研   发布时间:2024-10-29

成果名称

基于差分进化算法的太阳能光伏系统参数优化技术

成果联系人

于洋

职称

讲师

所在单位

英国威廉希尔公司官网

联系电话


Email

yuyang@njupt.edu.cn

技术成熟度

基本原理

技术分类

信息系统

核心专利号

所属学科方向

一级学科

计算机科学技术

二级学科

人工智能

应用行业

电力

项目概况:   

电力已经进入了数以百万计的家庭和人们的生活。一般而言,电力是从煤炭转化而来的,但是随着煤炭的燃烧,大量温室气体对环境造成了严重污染。另外,煤是不可再生的,其转化效率不是很高。因此,始终有必要寻找一种清洁,无污染,高效的替代能源来发电。为了实现这一目标,已经发现了许多替代能源,例如风能,太阳能,水和潮汐能。其中,风能,水能和潮汐能对现场要求严格,水力发电厂和风车的建设成本非常高。相反,太阳能无处不在。通过光伏发电系统,所产生的电能可以传输到数百万个家庭。为了使光伏系统在各种天气和温度下都具有更高的转换效率,对相应的光伏模型进行仿真,优化和控制至关重要且有帮助。

太阳能光伏模型中,参数评估问题影响着整个系统的太阳能利用率。光伏模型的参数空间具有大量的局部最优解,由于问题本身具有多峰、非连续及多变量等特性,属于复杂现实工程问题,问题的求解需要算法具有强大的收敛和优化性能。

通过基于自适应集成的差分进化算法优化模型,以估计不同光伏模型的参数。在差分进化算法中,具有互补性的三种不同变异策略的集合有助于算法解决复杂问题。同时,针对影响算法发展趋势的控制参数,建立了不同的参数组合。通过组合不同的策略和参数设置,个人可以表现出不同的搜索行为以增强不同的搜索能力。此外,通过自适应方案来确定每个个体使用的策略,以保持种群多样性和收敛性之间的平衡。进行了不同光伏模型的综合实验,结果证明差分进化算法在准确性和稳定性方面比其他算法获得更好的结果。

1太阳能光伏发电设备

 

关键技术:

1. 基于复合种群的进化计算探索与开发平衡维持技术

首先,基于复合种群的思想是将种群划分为多个子种群,利用群间异质性特征,分配给每个子种群相应的优化任务,搜索资源根据开发与探索的阶段性交替实时进行再分配,进而实现不同搜索过程之间的顺利转换。与传统方法中所使用的延迟、单一的种群划分方法不同,复合种群方法对种群进行预先划分,每个子种群都拥有独立的种群结构和搜索策略,并根据优化过程中的反馈进行实时调整,保证了资源分配的及时性与有效性。

具体来说,在迭代开始阶段,算法的搜索资源都投入到探索行为中,因此所有个体都被分配到负责进行探索的子种群中,用于寻找存在可行解的区域,如图5复合种群模型所示的子种群1(以子种群数量为3举例,实际数量则会根据具体优化问题发生改变)。随着搜索过程的进行,当发现具有深度开发价值的区域时,子种群间个体会进行交换,资源逐渐向负责开发的子种群2倾斜,用于提高解的精度,其余个体则接着探索其他区域。若负责开发的子种群2发现目前区域为局部较优解,或发现了其它更优解,则将个体交换到负责转换的子种群3,根据实际情况来决定是继续进行开发还是转为探索,以此来达到搜索资源的最大化利用。

具体的交换规则是:1若子种群1中的最优个体在连续L次迭代中都没有得到更新,则其中一半的个体会被交换至子种群2中,依据新的拓扑结构建立个体间交互关系,并采取子种群2中的搜索策略进行优化操作;2如果子种群1中剩余个体在L次迭代中依然无法得到更新,则剩余所有个体进入子种群33子种群3每隔t次迭代会向子种群1中输送适应值最差的n个个体重新进行探索操作,这些个体如果没有找到其它值得探索的区域,则会在t次迭代消失;4子种群2中的最差个体也会根据同样的规则被交换到子种群3中;5所有子种群如果能持续在t次迭代找到更优解,则种群规模会增加,新的个体会生成以提高整体的搜索效率。

5复合种群概念示意图

 

根据上述的操作步骤,在复合种群模型中,算法很好地节省资源,避免因为发现局部较优解而将所有资源都用在小区域内进行开发的情况,有效地提高了算法的搜索效率和收敛速率。

 

2. 基于拓扑结构的进化计算信息交互特性技术

基于复合种群方法对种群进行的划分,在每个子种群内部建立独立的拓扑结构,如小世界网络、无标度网络和细胞结构网络等,结合所使用拓扑结构的不同,搜索策略也与之搭配,实现每个子种群之间的异质化。在对算法的子种群进行划分后,拓扑结构将会被用来构建子种群内部的信息交互网络,以提高个体的搜索效率,达到强化整个种群优化性能的效果。因此,针对拓扑结构的研究工作,本项目会根据复杂网络中的度分布、平均最短路径和簇指数等指标,对现有主流拓扑结构进行系统、全面的调查研究,筛选出适用于不同优化过程的拓扑结构。基于度分布和平均最短路径等指标的相关研究,能够从理论层面发现拓扑结构在进化计算模型设计中的作用。

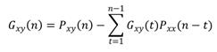
此外,基于马尔科夫链的方法来评估算法中的“首次到达时间”(first hitting time)的期望值和取代时间分析(takeover time analysis)方法,求出寻找到最优解的概率,也有助于对网络结构有一个深入的认识和了解。假设从个体x首次到达个体y所需的搜索次数被定义为从个体xy的首次到达时间,用来表示。设n步平稳转移概率中从个体xy的概率表示为,则令为相应的分布密度函数,t表示所能取到的值,即t=1,   2, …,则1次搜索从个体xy的概率为

n次搜索内首次从个体xy的概率为

由此可以通过理论分析得出算法在不同网络结构中找到最优解的概率,提高种群内信息交互的速率,赋予个体间的信息传递以时效性。

 

3. 基于数据驱动的算法参数自适应控制技术

在使用复合种群和拓扑结构对种群和搜索进行调整的过程中,为避免算法控制参数的数量过多造成的算法鲁棒性下降问题,基于种群多样性指标的变化,采用数据驱动方法,实现算法参数的自适应控制,从而减少参数数量,提高算法的鲁棒性。因此,在进化计算模型中,我们采用种群多样性指标作为数据基础,通过计算每一次迭代的种群多样性,对预先设置的算法参数进行取代。与传统方法中仅将种群多样性作为参照数据不同,团队首次将种群多样性作为控制参数反馈到算法优化过程中,由于种群多样性会随着优化过程变化,可以实时反映个体分布的情况,基于种群多样性的数据驱动方法能够对参数进行准确、实时的调整,最终达到减少参数数量,提高算法鲁棒性的目的。

计算种群多样性的方法,具体来说可以分为两种,一种是计算距离多样性,计算方法如下:

其中,N代表种群中个体总数,j(j=1, 2, …, n)代表子种群的编号(共有n个子种群),是当前待更新的个体的显性基因,代表当前子种群中适应值最优个体的显性基因。另一种则是计算适应值多样性,计算方法如下:

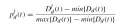
其中,是当前待更新的个体的适应值,则是的适应值。最后,使用归一化公式,这里以为例,计算对应的概率参数

其中,为各子种群中距离多样性的最大和最小值。基于这一方法,的取值范围为[0,1],可以给加上相应的系数,实现对算法各个控制参数的取代。另外,根据每个子种群内部个体的分散程度,选择与之相应的搜索策略,比如较为分散的种群适合采用探索能力强的搜索方式,较为集中的种群则更有利于开发,以此来赋予搜索策略执行以易行性和及时性。而使用种群多样性代替原有算法中的预设参数,可以有效地减少参数数量,具有通用性,从而提高得到更好解的概率,达到算法自适应化的目的。

应用领域和市场前景:

与传统元启发式算法相比,差分进化算法拥有更强大的全局搜索能力,能够为光伏系统参数优化这一复杂工程问题提供更有效的参数组合,进而提升能源转换效率。

9 太阳能光伏系统参数评估问题模型

合作方式(技术转让,技术开发,技术服务,技术咨询,技术入股):

技术开发

 

 

 

图片:(1-5张,文件大小不低于1MB,图片清晰,并标注图片说明)

 

 

 

 

 


联系我们
地址:南京市亚东新城区文苑路9号
邮编:210023
电话:025-85866506
传真:025-85866504
院长信箱:https://www.pavhc-dc.org
书记信箱:https://www.pavhc-dc.org

版权所有©南京邮电大学自动化学院